2009-01-21 OCR STATS 1 4732 Q01
| Previous Question Next Question | Written Answer | Mark Scheme Model Answers |
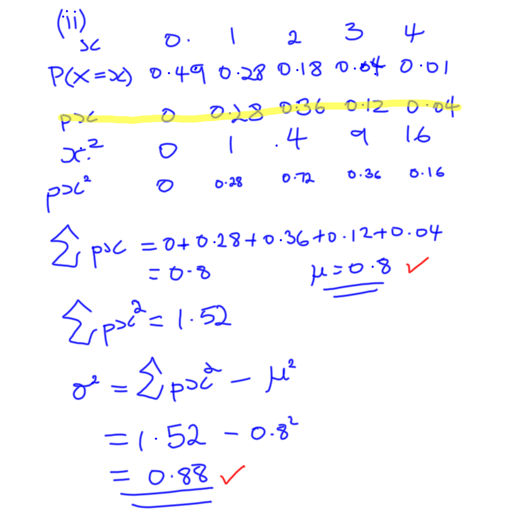
Topic: Probability Distribution

Model Answer



Mark SchemeModel Answers
| Previous Question Next Question | Written Answer | Mark Scheme Model Answers |




Mark Scheme